Jim Harlan / Instructor / Hy-Pro Filtration
The Dynamic Filtration Efficiency (DFE) Test is a test our company developed for evaluating filter elements that goes beyond industry standards. This article describes the test, why it matters, and why elements engineered with this test in mind outperform others in real-life applications. But first, a few basics:
How are filters rated?
All hydraulic and lube systems have a critical contamination tolerance level that is often defined by, but not limited to, the most sensitive system component such as servo valves or high-speed journal bearings. Defining the upper limit of the ISO fluid cleanliness code is a function of component sensitivity, safety, system criticality, and ultimately getting the most out of hydraulic and lube assets.

Filters can be evaluated by their ability to capture debris and then hold it. Dynamic Filter Efficiency is a way to measure those capabilities.
Filters, of course, remove the particulate contamination that enters a system or is generated by the system as it operates. All filters are subjected to some form of system dynamics: hydraulic filters encounter frequent and rapid changes in flow rate such as when valves shift. Lubrication filters, the focus of this article for the wind industry, experience dynamic conditions during start up and shut down. Filters validated only to current ISO testing standards do not perform as expected when subjected to the demands of real world dynamic operating systems.
Capture efficiency
Capture efficiency is a measure of how effectively a filter captures particles. It is defined in terms of Filtration Ratio (Beta) per ISO16889. The ratio is recorded during the ISO16889 multi-pass test used by most filter manufacturers and defined by this simple equation:
In the equation: ßx[c] = the ratio, Np = number of particles, Xµ[c] = a particle size in microns. The [c] is referred to as “sub c” and differentiates between multi-pass tests described by the current ISO16889 multi-pass test with new particle counter calibration per ISO11171 from ISO4572. Filtration ratios written without the “sub c” refers to the antiquated ISO4572 multi-pass test that has been superseded by ISO16889.
Here’s an example of how to use the equation: if 600 particles greater than or equal to 7μ[c] (7 microns) were counted upstream of the filter and 4 were counted downstream, the equation would set up this way:
ßx[c] = 600/4
= 150
Hence, the filter that produced the particle reduction in the example has a filtration ratio or ß7[c] of 150.
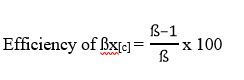
The efficiency may also be expressed as a percentage by converting the Filtration Ratio this way:
Using the Beta ratio from in the first example, we can calculate the filter efficiency this way:
Efficiency of ß7[c] = (150 -1)/150 x 100
= 99.33% efficient at capturing particles 7μ[c] and larger.
Retention efficiency
Retention efficiency is a measure of how effectively a filter retains the particles it has captured. It can be determined by comparing a filter’s Filtration (Beta) Ratio during constant flow rate, increases in flow rate and decreases in flow rate. It is not recorded during the ISO16889 multi-pass test used by most filter manufacturers.
A filter is not a black hole so its performance must not be based solely on how efficiently it captures particles. If not properly designed and applied, a filter can become one of the most damaging sources of contamination because it will release previously captured particles when challenged with dynamic conditions.
The lack of a method to test filters under varied flow rates leads to the development of The Dynamic Filter Efficiency Test (DFE) in 1998 as a joint effort between Scientific Services Inc and Hy-Pro Filtration. DFE is the evolution of standard hydraulic and lube filter performance testing. DFE goes further than current industry standards to quantify capture and retention efficiency in real time by inducing dynamic duty cycles, measuring real-time performance during dynamic changes, and the filters ability to retain particles. DFE testing is the method for predicting worst case fluid cleanliness along with average fluid cleanliness.
Filed Under: Filters, O&M





